Dynamic graph models inspired by the Bitcoin network-formation process

Antonio Cruciani

 Gran Sasso Science Institute (GSSI), L’Aquila, Italy

antonio.cruciani@gssi.it

Francesco Pasquale

Università di Roma ‘‘Tor Vergata’’, Rome, Italy
francesco.pasquale@uniroma2.it

 

In this work

  • Define and analyze three dynamic random graph models inspired by the Bitcoin P2P network generation protocol
  • To understand the properties of the network
    • Expansion (robustness)
    • Reliability (for spreading messages)

What we do:

Why we do it:

How we do that:

  • We simulate the models

The Bitcoin P2P Network

  • We can approximately retrieve the set of peers
  • But we can't find the links between them

What do we know?

Every node:

  • Min 8 connections
  • Max 125 connections

Can we use it to model the network structure?

Some related works

  • Bitcoin topology inference:
    • Miller et al. (2015), Neudecker et al. (2016), Delgado-Segura et al. (2018)

Difficult to apply on the real Bitcoin P2P Network

  • Dynamic random graph models:
    • Becchetti et al.(2020) [RAES MODEL]

Dynamic graph that converges to a static random graph

We extend the RAES model

Bitcoin Topology Inference

  • (Miller et al.) Discovering bitcoin’s public topology and influential nodes. 2015

 

  • (Neudecker et al.) Timing analysis for inferring the topology of the bitcoin peer-to-peer network. 2016

 

  • (Delgado-Segura et al.) TxProbe: Discovering Bitcoin’s Network Topology Using Orphan Transactions. 2018

 

Dynamic Graph Models (Inspired by the Bitcoin Network)

  • (Becchetti et al.) Finding a bounded-degree expander inside a dense one. (RAES Model) 2020

E-RAES (Edge Dynamic-RAES)

\left\{\begin{array}{l}    n \quad : \quad \texttt{ number of nodes} \\    d \quad : \quad \texttt{ minimum required degree}\\ c\geq 1 \quad : \quad \texttt{ ``tolerance'' }(c\cdot d = \texttt{maximum degree})\\ p\in [0,1] \quad : \quad \texttt{ edge disappearance rate} \end{array}\right.
\mathcal{G}(n,d,c,p) \texttt{ dynamic random graph }

Example:

n : 20

d : 4

c : 1.5

p : 0.5

At each round, each node \(u \in V\), independently of the other nodes:

  1.  If \(u\) has degree \(\delta_u < d\), then connects to \(d-\delta_u\) new nodes.
  2. If \(u\) has degree \(\delta_u > c\cdot d\), then \(u\) picks \(\delta_u -(c\cdot d)\) neighbors u.a.r. and drops the connections with them.
  3. Every edge disappears with probability \(p\).

RAES

E-RAES: Theoretical analysis?

Non-Reversible Ergodic Markov Chain

E-RAES Process

  • Mixing Time ?
  • Stationary random graph properties?
  • Flooding time?

Simulations

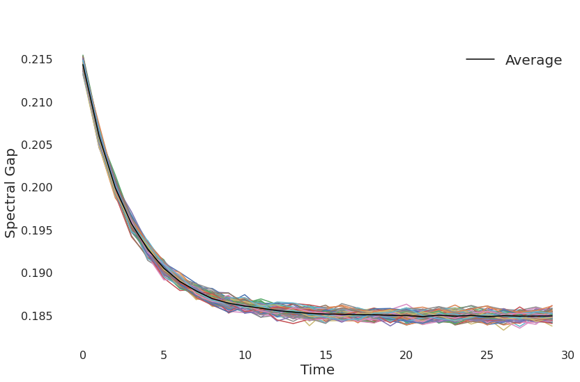
E-RAES: empirical "Steady-state" convergence

\(\mathcal{P_t} = D(\mathcal{G_t})^{-1} A(\mathcal{G_t})\)

\gamma_i = 1-\max\{|\lambda_2(\mathcal{P_i})|,|\lambda_n(\mathcal{P_i})|\}

Measure of robustness: Spectral-Gap

At every round \(t\geq 0\) compute:

E-RAES: empirical "Steady-state" convergence

At the generic round \(t\geq \log n\):

If \(|\gamma_t - \gamma_i|\leq \varepsilon\) for each \(i \in [(t-\log n), t]\)

How do we choose \(\varepsilon\)?

  • Run the process for k rounds
  • Set \(\varepsilon = \frac{1}{k}\sum_{i=1}^{k} | \gamma_i - \gamma^{mean}|\)

Empirical convergence:

E-RAES: (Average) Expansion

Expansion measured before the edge disappearance phase

\(d : 4, c: 1.5\)

\(d : 6, c: 5\)

\(d : 3, c: 3\)

E-RAES: (Average) Flooding Time

Flooding step executed after the edge disappearance phase

\(d : 4, c: 1.5\)

\(d : 6, c: 5\)

\(d : 3, c: 3\)

V-RAES (Vertex Dynamic-RAES)

\mathcal{G}(\lambda,d,c,q) \texttt{ dynamic random graph }
\left\{\begin{array}{ll}    \lambda\in \mathbb{R}^{+} : &\texttt{ node appearance rate} \\    d :& \texttt{ minimum required degree}\\ c\geq 1 : & \texttt{ ``tolerance'' }(c\cdot d = \texttt{maximum degree})\\ q\in [0,1] : &\texttt{ node disappearance rate} \end{array}\right.

At each round \(t\geq 0\):

  1. \(N_\lambda(t)\sim \text{Poisson}(\lambda)\) young nodes join the graph and connect to \(d\) random old nodes.
  2. If an old node \(u\) has degree \(\delta_u < d\), then connects to \(d-\delta_u\) additional old nodes.
  3. If an old \(u\) has degree \(\delta_u > c\cdot d\), then \(u\) picks \(\delta_u -(c\cdot d)\) neighbors u.a.r. and drops the connections with them.
  4. Every (young and old) node disappears with probability \(q\).

Example (ignore self-loops):

\(\lambda\) : 5

d : 4

c : 1.5

q : 0.5

V-RAES: "Steady-state" convergence

Markovian Queue

V-RAES Process

Stationary when \(|V_t|  \approx \frac{\lambda}{q}\)

V-RAES: % of informed nodes at each round

\(d : 4, c: 1.5\)

\(d : 6, c: 5\)

\(d : 3, c: 3\)

Flooding step executed after the edge disappearance phase

Network size: \(\frac{\lambda}{q} = 2^{15}\)

V-RAES: (Average) Flooding time

Flooding step executed after the edge disappearance phase

\(d : 4, c: 1.5\)

\(d : 6, c: 5\)

\(d : 3, c: 3\)

EV-RAES (Edge-Vertex Dynamic-RAES)

\mathcal{G}(\lambda,d,c,q,p) \texttt{ dynamic random graph }
\left\{\begin{array}{ll}    \lambda\in \mathbb{R}^{+} : &\texttt{ node appearance rate} \\    d :& \texttt{ minimum required degree}\\ c\geq 1 : & \texttt{ ``tolerance'' }(c\cdot d = \texttt{maximum degree})\\ q\in [0,1] : &\texttt{ node disappearance rate}\\ p\in [0,1] : &\texttt{ edge disappearance rate}\\ \end{array}\right.

At each round \(t\geq 0\):

  1. \(N_\lambda(t)\sim \text{Poisson}(\lambda)\) young nodes join the graph and connect to \(d\) random old nodes.
  2. If an old node \(u\) has degree \(\delta_u < d\), then connects to \(d-\delta_u\) additional old nodes.
  3. If an old \(u\) has degree \(\delta_u > c\cdot d\), then \(u\) picks \(\delta_u -(c\cdot d)\) neighbors u.a.r. and drops the connections with them.
  4. Every (young and old) node disappears with probability \(q\).
  5. Every edge disappears with probability \(p\).

Example (ignore self-loops):

\(\lambda\) : 5

d : 4

c : 1.5

q : 0.5

p: 0.5

EV-RAES: Sparse vs Bitcoin default values

\( d: 4, c: 1.5\)

\(q\in [0.1,0.5],p\in [0.1,0.3] \)

\( d: 8, c: 15.625\)

\(q\in [0.1,0.5],p\in [0.1,0.3] \)

Network size: \(\frac{\lambda}{q} = 2^{15}\)

\( d: 4, c: 1.5\)

\(q\in [0.1,0.5],p\in [0.1,0.3] \)

\( d: 8, c: 15.625\)

\(q\in [0.1,0.5],p\in [0.1,0.3] \)

EV-RAES: Sparse vs Bitcoin default values

Conclusions and Future works

Conclusions

Future works

  • E/V/EV- RAES protocols build very robust networks.

 

  • Information Spreading in the three models is fast and reliable
  • Theoretical analysis of these models?

 

  • Study a power-law distribution model?

Thank You!